Tác giả Chủ đề: Hà Nội - Thứ 7 Yêu Thương - BV Thận - Cập nhật Ủng hộ  (Đã xem 4199 lần)

0 Thành viên và 1 Khách đang xem chủ đề.

Ngủ rồi maitan97




BÁO CÁO THU CHI THÁNG 3-THÁNG 4/2024:
Trân trọng cảm ơn ACE và các bạn đã cùng chung sức và đồng hành với Thứ Bảy yêu thương - Xôi ngon cho người bệnh. Maitan xin thay mặt nhóm làm Chương trình gửi Anh chị và các bạn thống kê thu chi tháng 3-4/2024 như sau:
  • Ủng hộ hiện vật:
- Ruốc nhạt:Thuan Nguyen 3kg, Kim Anh 2 kg, Mai Anh: 1 kg
- Lá gói xôi: Dương Thị Thu Hương
- Đồ dùng phát xôi: Dương
-Dầu ăn: 01 BS viện Nhi - bạn của Bí Ngô tặng 
  • Tháng 3:
-UH hiện kim: 20.227.397 đ
-Chi: 15.502.000 đ
  • Tháng 4:
-UH hiện kim: 16.218.588 đ
-Chi: 7.817.000 đ
 


Trân trọng 

 
The following users thanked this post: banbe6x


Ngủ rồi maitan97

Thời gian thấm thoắt thoi đưa. Bé Xôi đã được đầy năm. Bé Xôi ngày càng lớn và nhận được nhiều yêu thương.

Mình cùng nhau nhìn lại hoạt động trong 2 tháng đầu năm 2024 nhé

  • UH hiện kim: Vô cùng ân tượng với 1 mạnh thường quân với 19 giao dịch trong tháng 2 các AC ạ - yêu thương lan tỏa
-Tháng 1: Tổng thu: 20.528.562 vnđ; Tổng chi: 12.910.000 đ
-Tháng 2: Tổng thu: 3.867.322 vnđ ; Tổng chi: 6.990.000 đ
  • UH hiện vật:
- Bạn Thuan Nguyen: 3 kg ruốc/maitan 1 kg ruốc
-C Nguyễn Thị Phượng: 50 kg gạo nếp Nhung
-Nữ hoàng Hành trình xanh Dương Thị Thu Hương: 230 suất lá gói * 6 buổi phát
Vô cùng biết ơn cả nhà luôn đồng hành và hỗ trợ để Bé Xôi nhanh trưởng thành và đội ngũ nhân sự ổn định trong mỗi buổi nấu phát
Tiếp tục đồng hành với hành trình xanh - Mai tân mong muốn in một poster về việc vận động bệnh nhân mang bát và hộp đựng xôi - rất mong muốn có ai hỗ trợ
Mến chúc cả nhà luôn bình an - hạnh phúc và đoàn kết cùng đồng hành với NTCM trong các hoạt động thiện nguyện và lan tỏa yêu thương

Thân ái - Mai tan






« Sửa lần cuối: 05-03-2024 13:41:46 gửi bởi ThaiDzuy »

 
The following users thanked this post: Yến Tạ


Ngủ rồi ThaiDzuy

  • BAN QUẢN TRỊ
  • Người Tôi Cưu Mang
  • *****
  • Bài viết: 4.301
  • Thanked: 4615 times
  • Thích 15
  • Giới tính: Nam
Dear cả nhà, 

Thay mặt những người làm chương tình Maitan xin trân trọng cảm ơn tất cả mọi người đã đóng góp, ủng hộ và yêu thương bé Xôi. Do thời gian vừa rồi vướng bận công việc nên tới hôm nay mai tan mới thực hiện được việc thông báo các khoản hỗ trợ của Anh chị em mong mọi người thông cảm ạ.

Tài khoản 5064 -MB Bank - Nguyễn Thi Thu Hiền vẫn tiếp tục nhận yêu thương của cả nhà.

TK này là tài khoản mở , ACE có thể kiểm tra các khoản thu chi của nhóm khi tải áp thiện nguyện trong khoảng thời gian 3 tháng.

Về hiện vật: Bé luôn nhận được UH đều đặn của:

1. Chi Thuan Nguyen và bạn bè: 1kg ruốc hàng tuần

2. Kim Anh Nguyễn và bạn bè: Gia vị để kho thịt bao gồm: Đường, Nước mắm, Bột canh, Bột nêm...

3. Gas để thổi xôi:  Thầy Thích Thanh Huy và các phật tử Chùa Phụng Loc

4. Chuẩn bị các phần lá gói Xôi (200 suất) :  Ngoan Vũ Thị và Dương Thị Thu Hương

5. Màn để đồ xôi (Nguyễn Thị Phượng) và các vật dụng nho nhỏ khác....

6. Vận chuyển : Các thành viên trong nhóm...

Để Bé Xôi hoạt động qui củ, đều đặn và được yêu thương như này không thể kể hết được công sức của mọi người đâu ạ.

Những phần xôi thơm ngon bổ dưỡng tặng người bênh đều đến từ những trái tim đôn hậu và sẻ chia của tất cả mọi người.

Mình cùng nhau trao yêu thương cho Bênh nhân AC nhé.

Từ đây người biết thương người...
 
The following users thanked this post: maitan97, maitramtg, Lắng nghe lòng bạn


Ngủ rồi ThaiDzuy

  • BAN QUẢN TRỊ
  • Người Tôi Cưu Mang
  • *****
  • Bài viết: 4.301
  • Thanked: 4615 times
  • Thích 15
  • Giới tính: Nam
Chào cả nhà,

Tình hình thu - chi tháng 6/2023 như sau ạ:

Tổng thu: 31,057,833 VND
Tổng chi: 11,406,000 VND

Số dư hiện tại: 92,994,211 VND

Ủng hộ hiện vật đang được tổng kết và cập nhật sau ạ! 

Chân thành cảm ơn cả nhà đã yêu thương bé Xôi NTCM!

Thân mến,

ThaiDzuy

Từ đây người biết thương người...
 
The following users thanked this post: maitramtg


Ngủ rồi ThaiDzuy

  • BAN QUẢN TRỊ
  • Người Tôi Cưu Mang
  • *****
  • Bài viết: 4.301
  • Thanked: 4615 times
  • Thích 15
  • Giới tính: Nam
Chào cả nhà,

ThaiDzuy và Maitan97 cùng cập nhật thu chi tháng 5/2023. Tháng này do ngưng mấy tuần do dịch COVID bùng phát lại nên thu chi đều ít ạ. 

Tổng thu: 2,366,063 VND
Tổng chi: 1,600,000 VND

Thân mến,

ThaiDzuy

Từ đây người biết thương người...
 
The following users thanked this post: maitramtg


Ngủ rồi ThaiDzuy

  • BAN QUẢN TRỊ
  • Người Tôi Cưu Mang
  • *****
  • Bài viết: 4.301
  • Thanked: 4615 times
  • Thích 15
  • Giới tính: Nam
Chào cả nhà, 

Cũng nhờ có App Thiện nguyện nên việc theo dõi thu chi cho Nồi xôi NTCM thuận tiện hơn.

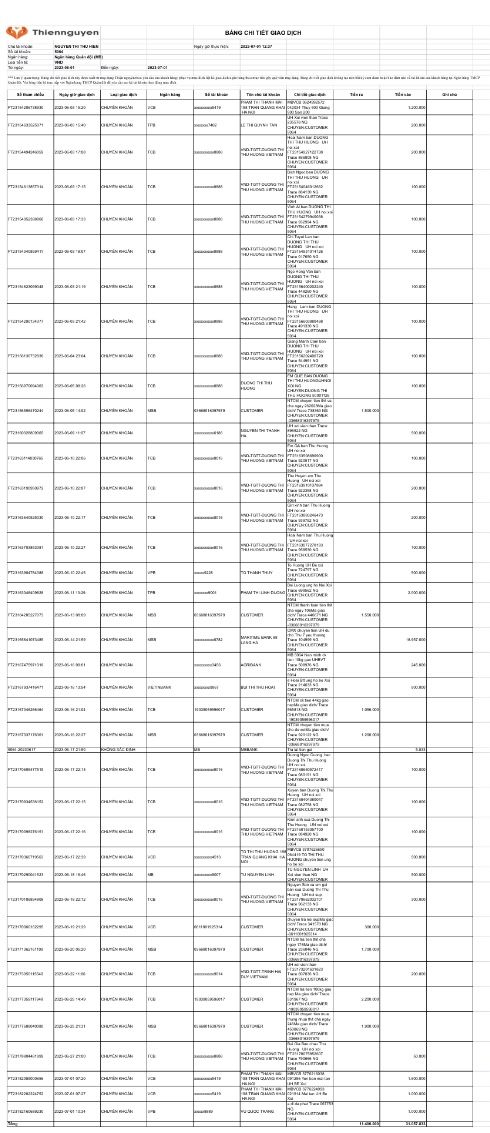
Báo cáo thu chi 1/4/2023 - 2/5/2023 như sau:

Tổng thu: 25,731,624VND
Tổng chi: 6,795,000 VND

Hình chụp từ sao kê của App Thiện nguyện ạ! 

Thân mến,

ThaiDzuy

Từ đây người biết thương người...
 
The following users thanked this post: maitramtg


Ngủ rồi ThaiDzuy

  • BAN QUẢN TRỊ
  • Người Tôi Cưu Mang
  • *****
  • Bài viết: 4.301
  • Thanked: 4615 times
  • Thích 15
  • Giới tính: Nam
Ngày 22/4/2023 Bé Xôi NTCM nhận ủng hộ từ chị Nhàn 100k. Cảm ơn chị! 

Từ đây người biết thương người...
 
The following users thanked this post: banbe6x, VânKiêuSa, maitramtg, Sẻ Chia


Ngủ rồi Mai Anh

Tổng kết yêu thương dành cho chương trình Xôi NTCM/Thứ Bảy Yêu Thương tại bệnh viện Thận Hà Nội tính đến ngày 31/3/2023
💰 UH hiện kim : 65.330.691 đ
💵 Chi cho hoạt động: 12.171.000 đ
Quỹ dư: 53.159.691 đ
Bé còn nhận được nhiều hiện vật :
1. Ruốc 5 kg 
2. Chả : 17 kg
3. Gạo: 150 kg
4. Bát giấy: 1.200 chiếc
5. Thịt 10 kg và rất nhiều hiện vật nữa ạ
Bé cũng nhận được nhiều phản hồi tích cực từ người bệnh khi nhận xôi. Mong sao những hành động nho nhỏ này của nhóm cũng tiếp sức cho BN chiến đấu với cơn bệnh hiểm nghèo
Mọi UH xin tiếp tục gửi về tài khoản 5064 - Ngân hàng MB bank. CTK Nguyễn Thị Thu Hiền 
Biết ơn cả nhà

 
The following users thanked this post: ThaiDzuy, banbe6x, VânKiêuSa, maitramtg, Sẻ Chia


Ngủ rồi maitan97

Báo cáo Thu chi - Thứ bảy yêu thương Xôi ngon cho người bệnh  ngày 25/2/2023 (Bé Xôi ngày thứ Hai)

Ủng hộ hiện vật:
- FB chị Thuan Nguyen UH 1 kg ruốc
- FB C Tue Anh UH 5 kg chả
- E Hòa Minh UH 50 kg gạo Nếp Nhung
Vô cùng biết ơn cả nhà đã yêu thương Bé Xôi - Mong Bé ngày càng mạnh khỏe - được yêu thương thật nhiều

Thay mặt team làm Chương trình
Maitan
« Sửa lần cuối: 28-02-2023 14:43:53 gửi bởi phuclehuu »

 
The following users thanked this post: ThaiDzuy, banbe6x, maitramtg, Sẻ Chia


Ngủ rồi maitan97

Mai tân thay mặt nhóm làm Chương trình xin cập nhật các khoản  UH  của nhóm  ngày 18/2/2023

1. Ủng hộ hiện vật :
- Chị Nam Trang ủng hộ 250 cái hộp giấy đựng xôi
-  Nguyễn Kim Anh ủng hộ mua nồi, bếp từ, muôi, … trị giá 2.000.000đ
- Chị Tươi (bán giò chả) ủng hộ 2 kg chả + 01 kg túi nilon
2. UH hiện kim tính đến 10.41 ngày 22/2/2023: 24.317.041 đ (check tài khoản online)

Thân ái

Maitan
« Sửa lần cuối: 28-02-2023 14:44:31 gửi bởi phuclehuu »

 
The following users thanked this post: ThaiDzuy, banbe6x, Tieuhuongduong, maitramtg, Sẻ Chia


Ngủ rồi ThaiDzuy

  • BAN QUẢN TRỊ
  • Người Tôi Cưu Mang
  • *****
  • Bài viết: 4.301
  • Thanked: 4615 times
  • Thích 15
  • Giới tính: Nam
Chào cả nhà,

Đây là nơi NTCM cập nhật các khoản ủng hộ bằng hiện kim, hiện vật cho hoạt động Thứ Bảy Yêu Thương - BV Thận Hà Nội. 

Thân mến,

ThaiDzuy

Từ đây người biết thương người...
 
The following users thanked this post: banbe6x, Tieuhuongduong, maitramtg, Sẻ Chia